无锡农村商业银行股份有限公司2025年第三季度报告
创始人
2025-10-27 12:45:56
0

本公司董事会及全体董事保证本公告内容不存在任何虚假记载、误导性陈述或者重大遗漏,并对其内容的真实性、准确性和完整性承担法律责任。

重要内容提示

公司董事会及董事、高级管理人员保证季度报告内容的真实、准确、完整,不存在虚假记载、误导性陈述或者重大遗漏,并承担个别和连带的法律责任。

公司负责人陶畅、行长陈红梅、主管会计工作负责人何建军及会计机构负责人(会计主管人员)尤赟保证季度报告中财务信息的真实、准确、完整。

第三季度财务报表是否经审计

□是√否

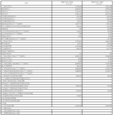
一、主要财务数据

(一)主要会计数据和财务指标

单位:千元 币种:人民币

注: 1、“本报告期”指本季度初至本季度末3个月期间,下同。

2、 加权平均净资产收益率为年化后数据。

(二)非经常性损益项目和金额

√适用□不适用

单位:千元 币种:人民币

对公司将《公开发行证券的公司信息披露解释性公告第1号一一非经常性损益》未列举的项目认定为非经常性损益项目且金额重大的,以及将《公开发行证券的公司信息披露解释性公告第1号一一非经常性损益》中列举的非经常性损益项目界定为经常性损益的项目,应说明原因。

□适用√不适用

(三)主要会计数据、财务指标发生变动的情况、原因

□适用√不适用

二、股东信息

(一)普通股股东总数和表决权恢复的优先股股东数量及前十名股东持股情况表

单位:股

持股5%以上股东、前10名股东及前10名无限售流通股股东参与转融通业务出借股份情况

□适用√不适用

前10名股东及前10名无限售流通股股东因转融通出借/归还原因导致较上期发生变化

□适用√不适用

三、其他提醒事项

需提醒投资者关注的关于公司报告期经营情况的其他重要信息

□适用√不适用

四、季度财务报表

(一)审计意见类型

□适用√不适用

(二)财务报表

合并资产负债表

2025年9月30日

编制单位:无锡农村商业银行股份有限公司

单位:千元 币种:人民币审计类型:未经审计

公司负责人:陶畅 行长:陈红梅 主管会计工作负责人:何建军 会计机构负责人:尤赟

合并利润表

2025年1一9月

编制单位:无锡农村商业银行股份有限公司

单位:千元 币种:人民币 审计类型:未经审计

公司负责人:陶畅 行长:陈红梅 主管会计工作负责人:何建军 会计机构负责人:尤赟

合并现金流量表

2025年1一9月

编制单位:无锡农村商业银行股份有限公司

单位:千元 币种:人民币审计类型:未经审计

公司负责人:陶畅 行长:陈红梅 主管会计工作负责人:何建军 会计机构负责人:尤赟

母公司资产负债表

2025年9月30日

编制单位:无锡农村商业银行股份有限公司

单位:千元 币种:人民币 审计类型:未经审计

公司负责人:陶畅 行长:陈红梅 主管会计工作负责人:何建军 会计机构负责人:尤赟

母公司利润表

2025年1一9月

编制单位:无锡农村商业银行股份有限公司

单位:千元 币种:人民币 审计类型:未经审计

公司负责人:陶畅 行长:陈红梅 主管会计工作负责人:何建军 会计机构负责人:尤赟

母公司现金流量表

2025年1一9月

编制单位:无锡农村商业银行股份有限公司

单位:千元 币种:人民币 审计类型:未经审计

公司负责人:陶畅 行长:陈红梅 主管会计工作负责人:何建军 会计机构负责人:尤赟

2025年起首次执行新会计准则或准则解释等涉及调整首次执行当年年初的财务报表

□适用√不适用

特此公告。

无锡农村商业银行股份有限公司

董事会

2025年10月24日

五、补充财务数据

5.1补充会计数据

单位:千元 币种:人民币

注:上表中存款总额与贷款总额不含应计利息。

5.2资本数据

单位:千元 币种:人民币

5.3母公司杠杆率

单位:千元 币种:人民币

5.4补充财务指标

5.5五级分类情况

单位:千元 币种:人民币

证券代码:600908 证券简称:无锡银行 公告编号:2025-028

无锡农村商业银行股份有限公司

关于召开2025年

第三季度业绩说明会的公告

无锡农村商业银行股份有限公司董事会及全体董事保证本公告内容不存在任何虚假记载、误导性陈述或者重大遗漏,并对其内容的真实性、准确性和完整性承担法律责任。

重要内容提示:

● 会议召开时间:2025年11月28日(星期五)10:00-11:00

● 会议召开地点:上海证券交易所上证路演中心(网址:https://roadshow.sseinfo.com/)

● 会议召开方式:上证路演中心网络互动

● 投资者可于2025年11月21日(星期五)至11月27日(星期四)16:00前登录上证路演中心网站首页点击“提问预征集”栏目或通过公司邮箱(contact@wrcb.com.cn)进行提问。公司将在说明会上对投资者普遍关注的问题进行回答。

无锡农村商业银行股份有限公司(以下简称“公司”)已于2025年10月27日发布了公司2025年第三季度报告,为便于广大投资者更全面深入地了解公司2025年第三季度经营成果、财务状况,公司计划于2025年11月28日(星期五)10:00-11:00举行2025年第三季度业绩说明会,就投资者关心的问题进行交流。

一、 说明会类型

本次投资者说明会以网络互动形式召开,公司将针对2025年第三季度的经营成果及财务指标的具体情况与投资者进行互动交流和沟通,在信息披露允许的范围内就投资者普遍关注的问题进行回答。

二、说明会召开的时间、地点

(一)会议召开时间:2025年11月28日(星期五)10:00-11:00

(二)会议召开地点:上证路演中心

(三)会议召开方式:上证路演中心网络互动

三、参加人员

本公司董事长、行长、董事会秘书、计划财务部总经理以及独立董事代表。

四、投资者参加方式

(一)投资者可在2025年11月28日(星期五)10:00-11:00,通过互联网登录上证路演中心(https://roadshow.sseinfo.com/),在线参与本次业绩说明会,公司将及时回答投资者的提问。

(二)投资者可于2025年11月21日(星期五)至11月27日(星期四)16:00前登录上证路演中心网站首页,点击“提问预征集”栏目(https://roadshow.sseinfo.com/preCallQa),根据活动时间,选中本次活动或通过公司邮箱(contact@wrcb.com.cn)向公司提问,公司将在说明会上对投资者普遍关注的问题进行回答。

五、联系人及咨询办法

联系人:董事会办公室

电话:0510-82830815

邮箱:contact@wrcb.com.cn

六、其他事项

本次投资者说明会召开后,投资者可以通过上证路演中心(https://roadshow.sseinfo.com/)查看本次投资者说明会的召开情况及主要内容。

特此公告。

无锡农村商业银行股份有限公司董事会

2025年10月27日

证券代码:600908 证券简称:无锡银行 公告编号:2025-027

无锡农村商业银行股份有限公司

2025年中期利润分配方案公告

无锡农村商业银行股份有限公司(以下简称“本行”或“公司”)董事会及全体董事保证本公告内容不存在任何虚假记载、误导性陈述或者重大遗漏,并对其内容的真实性、准确性和完整性承担法律责任。

重要内容提示:

1.每股分配比例:每股派送现金股利0.11元人民币(含税)。

2.本次利润分配以实施分红派息股权登记日登记的本行普通股总股本为基数,具体股权登记日期将在分红派息实施公告中明确。在实施权益分派的股权登记日前公司总股本发生变动的,维持每股分配比例不变,相应调整分配总额,并将另行公告具体调整情况。

3.根据本行2025年第一次临时股东大会授权,本次利润分配方案经董事会审议通过后即可实施。

一、利润分配方案内容

截至2025年6月末,本行母公司报表中期末未分配利润为5,956,032,589.93元。经董事会决议,本行2025年中期利润分配方案如下:

以实施权益分派股权登记日登记的总股本为基数,每股派发现金红利0.11元(含税)。若以2025年6月30日的总股本2,194,681,695股为基数,将派发现金股利241,414,986.45元,占2025年半年度归属于本行股东净利润的17.50%。

如在本公告披露之日起至实施权益分派股权登记日期间,因其他因素致使本行总股本发生变动的,本行维持每股分配比例不变,相应调整分配总额。如后续总股本发生变化,将另行公告具体调整情况。

二、公司履行的决策程序

(一)股东大会授权情况

2025年9月16日,本行2025年第一次临时股东大会审议通过了《关于提请股东大会授权董事会决定2025年度中期利润分配方案的议案》,授权董事会在符合利润分配条件下,制定并实施具体的2025年中期利润分配方案。

(二)董事会审计及消费者权益保护委员会审核意见

本行2025年中期利润分配政策综合考虑了本行可持续发展、监管部门对资本充足的要求以及平衡股东短期和中长期利益等因素,且制定程序符合本行《章程》的规定。本行董事会审计及消费者权益保护委员会同意提交董事会审议。

(三)董事会会议的召开、审议和表决情况

本行于2025年10月24日召开的第七届董事会第六次会议审议通过了《关于2025年中期利润分配方案的议案》,同意本次利润分配方案,本次利润分配方案符合本行《章程》规定的利润分配政策。本行独立董事发表了独立意见,同意该利润分配方案。

三、相关风险提示

本次利润分配方案结合了公司发展阶段、未来的资金需求等因素,综合考虑了股东投资回报、监管机构对资本充足率的要求,不会对公司经营现金流产生重大影响,不会影响公司正常经营和长期发展。

特此公告。

无锡农村商业银行股份有限公司董事会

2025年10月27日

证券代码:600908 证券简称:无锡银行 公告编号:2025-026

无锡农村商业银行股份有限公司

第七届董事会第六次会议决议公告

无锡农村商业银行股份有限公司董事会及全体董事保证本公告内容不存在任何虚假记载、误导性陈述或者重大遗漏,并对其内容的真实性、准确性和完整性承担法律责任。

无锡农村商业银行股份有限公司(以下简称“本行”)第七届董事会第六次会议于2025年10月24日下午在无锡农村商业银行(无锡市金融二街9号)1208会议室以现场方式召开,会议通知已于2025年10月13日向全体董事发出。本次会议由董事长陶畅先生主持,会议应到15人,实到14人,董事、行长陈红梅女士因公务原因请假,书面授权委托董事长陶畅先生行使表决权。部分高级管理人员列席。本次会议的召集、召开程序符合《中华人民共和国公司法》及《无锡农村商业银行股份有限公司章程》的规定。本次会议审议并表决通过了:

1.关于2025年三季度报告的议案

表决情况:赞成15票;反对0票;弃权0票。

请详见本行同日于上海证券交易所网站(www.sse.com.cn)发布的相关内容。

该议案已经本行董事会审计及消费者权益保护委员会审议通过。

2.关于2025年三季度第三支柱信息披露报告的议案

表决情况:赞成15票;反对0票;弃权0票。

该议案已经本行董事会审计及消费者权益保护委员会审议通过。

3.关于2025年三季度预期信用损失法评估结果的议案

表决情况:赞成15票;反对0票;弃权0票。

4.关于2025年三季度市场风险压力测试报告的议案

表决情况:赞成15票;反对0票;弃权0票。

5.关于2025年中期利润分配方案的议案

表决情况:赞成15票;反对0票;弃权0票。

请详见本行同日于上海证券交易所网站(www.sse.com.cn)发布的相关内容。

本行董事会审计及消费者权益保护委员会已对该议案发表了同意的审核意见。

6.关于聘任首席合规官的议案

表决情况:赞成15票;反对0票;弃权0票。

董事会聘任执行董事、行长陈红梅女士兼任首席合规官,任期与董事会保持一致。

该议案已经本行董事会提名及薪酬委员会审议通过。

特此公告。

无锡农村商业银行股份有限公司董事会

2025年10月27日

相关内容

现货铂金刚刚突破1620....
每经AI快讯,10月27日,现货铂金刚刚突破1620.00美元/盎...
2025-10-27 15:48:35
秦氏金升:伦敦金周初看震荡...
来源:市场资讯 10月27日,今日周一,亚盘时段,伦敦金最新报40...
2025-10-27 15:48:35
金价涨了,金店老板却栽了!...
10月27日 现货黄金跳空低开后 现重新站上4100美元/盎司 ...
2025-10-27 15:48:33
金价狂飙后回调,是否“倒车...
近期黄金价格大幅攀升后又回调,伦敦金一度创下4400美元/盎司历史...
2025-10-27 15:48:29
原创 ...
最近后台消息快炸了,全是问黄金的:“帮主,我那积存金一天亏掉半月工...
2025-10-27 15:48:24
国际金价近期回调,别慌!
受国际金价影响,珠宝首饰专柜的足金售价出现下跌。 国际金价连创新高...
2025-10-27 15:48:22
国际现货白银:酝酿下破47...
【10月27日国际现货白银承压回落,酝酿下破关键支撑位】10月27...
2025-10-27 15:48:21
国际现货白银:酝酿下破47...
【10月27日国际现货白银承压回落,酝酿下破关键支撑位】分析师最新...
2025-10-27 15:48:21
黄金首饰家中“凭空消失”?...
“警察同志,我的黄金首饰凭空消失了……”一起盗窃黄金首饰案嫌疑人和...
2025-10-27 15:48:19

热门资讯

黄金被掺入这种金属,肉眼根本无... 755元一克 高价回收的“千足金”项链 转身就让金店老板亏了数万元 问题出在哪? 近日 浙江省湖州市...
原创 突... 本文黄金、白银等产品行情分析,以国际报价为基准;今日换算系数,国际金价/4.37≈国内金价。 黄金周...
中国“黄金走廊”打造多边金融未... 香港“点新闻”10月25日文章,原题:中国“黄金走廊”打造多元金融未来 中国正引领一场变革性金融革命...
投资黄金,一定能保值吗? 近年来,黄金投资的讨论热度不断攀升,金条、金饰等实物黄金交易火热,黄金ETF(159934)等产品也...
黄金热推动黄金交易员薪资大涨 中新网10月27日电(记者 宫宏宇)据彭博社报道,随着黄金热度飙升,大宗商品交易商、对冲基金和银行正...
@所有沈阳人:中银E贷全线上信... 全线上信用消费贷款 1.额度最高可申请30万元 2.年化利率低至3.1%起(单利) 3.贷款期限最长...
光绪银币丁未一两:晚清币制改革... # 光绪银币丁未一两:晚清币制改革的珍稀标本与收藏界的传奇币种 在晚清机制币的收藏领域,“光绪银币丁...
33000名选手参跑天津银行·... 人民网天津10月27日电 (记者孙一凡)10月26日早7时30分,天津银行·2025天津马拉松在天津...
人民币,2024年10月15日... 人民币汇率再度释放“稳预期”新信号。 10月27日,人民币对美元中间价报7.0881,较前一日上调4...